网站首页
部门概况
部门简介
部门领导
部门职责
通知公告
成果申报
项目公告
推荐公示
科研机构
科研平台
创新团队
科研人才
学术委员会
科技成果
获奖成果
授权专利
论文认定
高层次项目
技术转移
成果转化简介
技术需求清单
成果转化制度
规章制度
学院主页
网站首页
部门概况
部门简介
部门领导
部门职责
通知公告
成果申报
项目公告
推荐公示
科研机构
科研平台
创新团队
科研人才
学术委员会
科技成果
获奖成果
授权专利
论文认定
高层次项目
技术转移
成果转化简介
技术需求清单
成果转化制度
规章制度
学院主页
科技成果
获奖成果
授权专利
论文认定
高层次项目
网站首页
>
科技成果
>
授权专利
> 正文
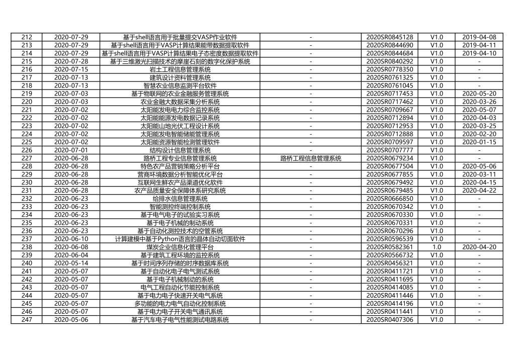
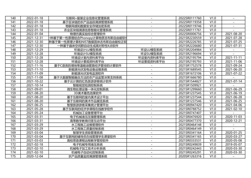
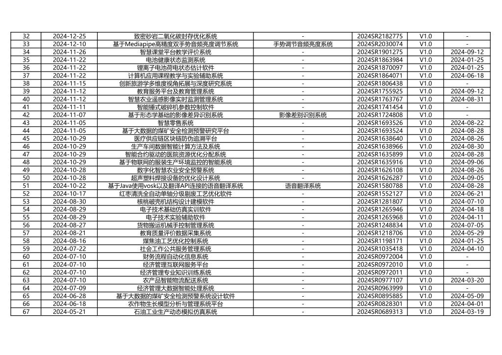
榆林学院2018-2025年授权软件著作权一览表
来源:
作者:
发布时间: 2025-10-16
次浏览
下一条:
榆林学院2019-2025年授权实用新型专利一览表